Bioresource Technology | 合成生物学与环境工程相结合开创藻类处理畜牧业废水新纪元
畜牧业每年生产240亿吨废水,废水的排放导致水资源的严重富营养化。此外,集中饲养动物的大型农场需要大量使用激素和抗生素,对周围的淡水生态系统以及人类健康和安全产生负面影响。比如,畜牧业废水中的厌氧消化后的出水的主要特点包括1)氨氮浓度高(1000-2000 mg/L),2)抗生素种类繁多,且3)碳氮比(C/N<1)往往低于传统活性污泥所需的营养比例(C/N >5)。因此,厌氧消化后的水不利于后续活性污泥法的反硝化过程的进行,从而导致总氮浓度偏高。另一方面,目前研究藻类处理法存在的问题包括:1)无法适应高氨氮以及多类型抗生素所带来的毒性问题,2)藻类的收集也是目前比较关注的问题;3)其较长的生长周期和废水处理时间势必会大大增加大规模连续式反应系统的水利停留时间,从而影响整个水厂的建造和运营成本。
近日,由中国科学院深圳先进技术研究院合成生物学研究所的Howard H. Chou课题组,成都信息工程大学的张辉课题组以及美国克莱姆森大学的陈寰课题组在Bioresource Technology期刊发表重要研究成果"Two-stage continuous cultivation of microalgae overexpressing cytochrome P450 improves nitrogen and antibiotics removal from livestock and poultry wastewater"。
研究发现,一种小球藻(Chlorella vulgaris)通过定向进化可以适应在含有高氨氮和低碳氮比的畜牧业厌氧消化废水中生长。并且本次研究采用了一种设计-建造-测试-学习(DBTL)相结合的研究模式优化了利用该菌株来处理废水的连续工艺,以实现加速氨氮的去除和缩短水利停留时间(HRT)。与此同时,经过改造的菌株还有效地去除了废水中的多种抗生素。该研究通过生理、化学、代谢物、转录组和遗传分析,阐明了小球藻在废水中生存的耐受性、氨氮去除和抗生素降解的机制。最终研究表明,在小球藻中过表达新鉴定的P450酶可以改善氨氮、有机氮和抗生素的降解。
这项研究为开发基于微藻的工艺以改善畜牧业中的氮和水循环提供了宝贵的见解。同时,在合成生物学和环境工程层面,该研究也为后续优化藻类污水处理技术提供了新的思路和发展方向。

文章上线截图
原文链接:
https://doi.org/10.1016/j.biortech.2024.131994
清洁的水源和食物是人类健康和全球可持续发展相互关联的重要资源。工业化养殖利用大量清洁水,同时产生大量废水,对淡水供应造成负担。据估计,畜牧业每年为了生产 560 亿头牲畜供消费会产生 240 亿吨废水,预计到 2050 年消费量将超过 1000 亿头牲畜 (Sepúlveda-Muñoz et al., 2023)。为了满足这种日益增长的需求,人们建立了大规模的集中饲养农场,需要大量使用激素和抗生素 (Vaishnav et al., 2023)。然而,废水往往在未进行有效营养管理的情况下排放,导致全球 64-97% 的富营养化 (Silva-Gálvez et al., 2024)。抗生素在废水中的积累及向环境的释放可能会对抗生素耐药性产生潜在的不利影响,加剧与耐药病原体相关的现有问题 (Wang et al., 2021)。因此,畜牧业废水管理不当会对周围的淡水生态系统以及人类健康和安全产生负面影响。
传统的畜牧业废水处理过程采用两步法。首先,利用厌氧消化来极大地降低化学需氧量 (COD)。然后,使用好氧活性污泥氧化去除剩余的营养物质。厌氧消化步骤至关重要,因为高 COD 会抑制污泥的生长 (Wang et al., 2016)。厌氧消化还有一个额外的好处,那就是以沼气的形式创造绿色能源。在中国,每年通过加工牲畜粪便生产 145 亿立方米沼气 (Ran et al., 2021)。然而,厌氧消化后残留的总氮(TN)较高,尤其是氨氮可高达 1000-2000 mg/L,使得厌氧消化出水中的碳氮比(COD/TN)较低,污泥没有足够的碳源进行生长,从而降低了第二步中活性污泥去除营养物质的能力 (Zhang et al., 2022)。
基于微藻的处理工艺,其好处在于微藻独特的生理和代谢途径使得其可以通过固定 CO2合成有机碳源,从而生长在低 COD/TN的污水环境中。然而,微藻对于高氨氮和复合型抗生素废水的适应能力较差,同时目前基于微藻的处理工艺需要较长的水力停留时间 (HRT),约为 8-12 天 (de Mendonça et al., 2018),这限制了它们在商业工艺中的广泛应用。
为此,本研究旨在探索小球藻去除畜牧业厌氧废水中的氮和抗生素的潜在机制。并通过设计-构建-测试-学习(DBTL)策略,将环境工程和合成生物学方法相结合,用以去除废水中的氮和异类污染物以及缩短水力停留时间。
定向进化小球藻对畜牧业废水的处理
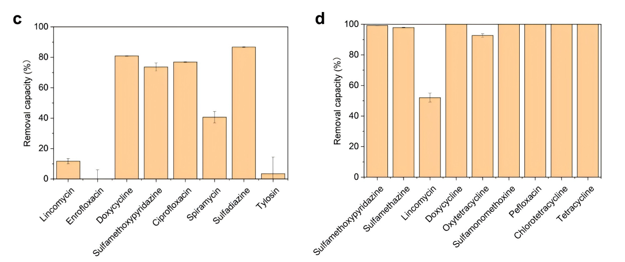
利用定向进化技术,筛选到了新型小球藻(M5)能够快速地去除废水中的总氮(TN),氨氮(NH4-N)和总磷(TP)。在鸭场厌氧废水中实现了 192 mg TN/L/d、177 mg NH4-N/L/d 和 2 mg TP/L/d 的去除率,在养猪场厌氧废水中实现了 160 mg TN/L/d、125 mg NH4-N/L/d 和 6 mg TP/L/d 的去除率 (图1a 和b)。与之前发表的研究相比,在TN含量高出 4 倍的情况下,M5对TN去除率仍旧高出 8 倍 (Wang et al., 2016)。同时,发现M5可有效去除鸭场废水中的强力霉素、磺胺甲氧哒嗪、环丙沙星和磺胺嘧啶(图 1c)。在猪场废水中,也可有效去除磺胺甲氧哒嗪、磺胺二甲嘧啶、强力霉素、土霉素、磺胺间甲氧嘧啶、培氟沙星、金霉素和四环素(图 1d)。


图 1. 畜禽废水的批量处理工艺。处理(a)鸭场和(b)猪场废水时细胞密度、化学需氧量 (COD)、总氮(TN)、铵氮(NH4-N)、总有机氮(TON)和总磷(TP)浓度的变化。M5 处理后(c)鸭场和(d)猪场废水中抗生素的去除率。
连续反馈式处理系统的搭建
为了能够让 M5 投入商业应用,并且与传统的活性污泥法的水力停留时间相匹配(HRT=4-6天),我们利用了 DBTL 策略来建立了一套新型两级连续反馈式处理系统(CFP)。经过了长达两个月的观察,CFP工艺在水力停留时间为4天的情况下实现了稳定的污染物降解率,其中在鸭场废水中的去除率为 334 mg TN/L/d、306 mg NH4-N/L/d 和 4 mg TP/L/d,在猪场废水中的去除率为 213 mg TN/L/d、213 mg NH4-N/L/d 和 10 mg TP/L/d。即使在将系统总工作体积减少 43% 后,使用CFP工艺的 NH4-N 去除率仍比摇瓶实验高出 70%。另一方面,在对 CFP 系统中抗生素浓度的分析表明,林可霉素、恩诺沙星、磺胺甲氧哒嗪、螺旋霉素、磺胺嘧啶和泰乐菌素的去除效果均有所改善(图 2f、g)。实验数据证实了该套工艺已经可以和传统的活性污泥法的处理效率不相上下了,甚至在总氮的处理方面比污泥法更胜一筹。



图 2. 连续反馈工艺处理畜牧业废水。(a)连续反馈系统示意图。处理(b、c)鸭场厌氧消化废水(DFWD)和(d、e)养猪场厌氧消化废水(PWD)后,I 和 II 阶段的细胞密度、化学需氧量(COD)、总氮(TN)、铵氮(NH4-N)和总磷(TP)浓度。从(f)DFWD 和(g)PWD 中抗生素去除率。
新型P450酶用于畜牧业废水处理
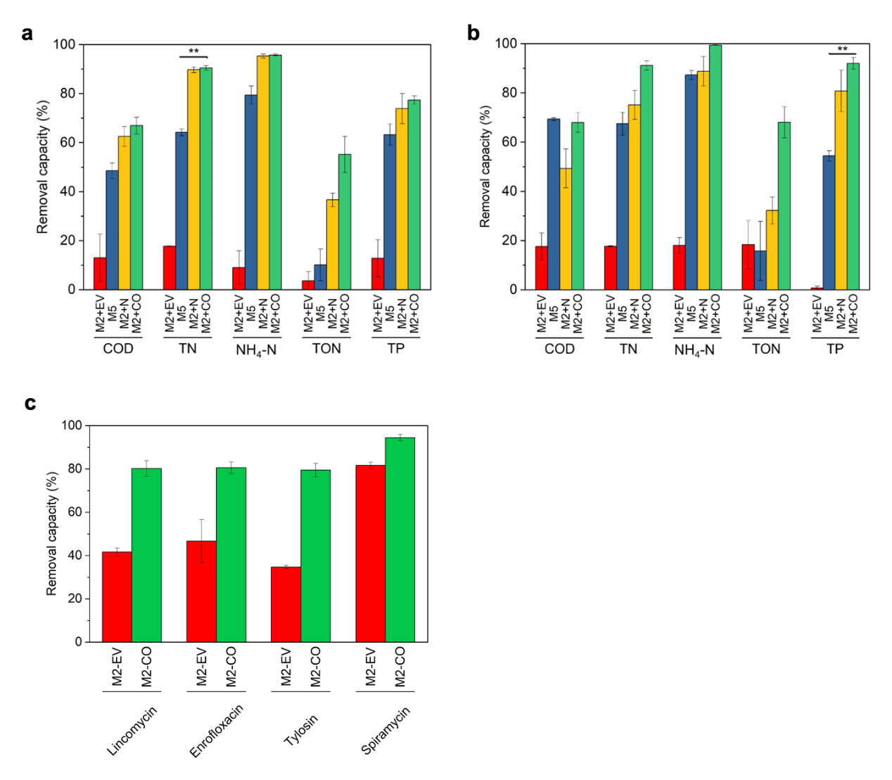
为了进一步探索 M5 降解废水的潜在机理,我们通过转录组测序挖掘了高表达的 P450 酶,其中经过分析和比对,发现了一段完整的高表达 P450 酶的基因(A23292)。为了验证这段基因的潜在功能,将其重新在未进化的原始小球藻(M2)细胞体内进行了过表达实验。研究表明 A23292 过表达的小球藻细胞(M2+N)足以耐受畜牧业废水中的抑制化合物。经过M2过表达密码子优化的 A23292 处理后(M2+CO),鸭场和猪场废水中的氨氮去除率分别提高了 11 倍和 5 倍(图 3a、b)。因此,氨氮去除率的提高可能是由于 A23292 从废水中去除了生长抑制化学物质,从而促进了更高的细胞生长,从而加速了氨氮的去除。在 A23292 过表达后,鸭场和猪场废水中实现的 NH4-N 去除率分别为 470 mg NH4-N/L/d 和 240 mg NH4-N/L/d。另一方面,M2 过表达密码子优化的 A23292 后,林可霉素、恩诺沙星和泰乐菌素的去除率分别提高了 60%、40% 和 130%(图 3c)。这些增加表明A23292参与了这些抗生素的水解作用。

图 3. 细胞色素 P450 对畜牧业废水的解毒测试。通过 M2 与空载体对照(M2+EV)、M5、过表达天然 A23292 的 M2(M2+N)和过表达密码子优化的 A23292 的 M2(M2+CO),去除(a)鸭场和(b)猪场废水中的化学需氧量(COD)、总氮(TN)、铵氮(NH4-N)、总有机氮(TON)和总磷(TP)。(c)在 BG-11 中,通过过表达密码子优化的 A2329 的 M2 抗生素(500 μg/L)去除率。
本研究主要提供了两种改进基于藻类的高氨氮畜牧业厌氧消化废水的处理方法。一种方法是基于合成生物学改造,通过过表达密码子优化后的 P450 酶来增强对有毒物质的解毒。另一种是基于 DBTL 策略,开发通过细胞回流步骤来增强细胞的毒性耐受性并保持细胞繁殖能力。这两种方法已在实验室规模上得到验证,并且为以下学科领域和工程方面提供了一些新的思路和应用:1)通过蛋白质工程改进小球藻 P450 酶的活性;2)分析结构并探索 P450 酶在其他类型废水中的潜在功能;3)可以研究基于藻类的 CFP 工艺与活性污泥工艺的结合进一步去除 COD 和 TN。
中国科学院深圳先进技术研究院的博士后肖睿为文章的第一作者,正高级工程师Howard H. Chou为文章的通讯作者。本研究得到了国家重点研发计划、中国博士后科学基金以及深圳合成生物学创新研究院的支持。
参考文献
Ran, C., Zhou, X., Yao, C., Zhang, Y., Kang, W., Liu, X., Herbert, C., Xie, T. 2021. Swine digestate treatment by prior nitrogen-starved Chlorella vulgaris: The effect of over-compensation strategy on microalgal biomass production and nutrient removal. Science of The Total Environment, 768, 144462.
Sepúlveda-Muñoz, C.A., de Godos, I., Muñoz, R. 2023. Wastewater Treatment Using Photosynthetic Microorganisms. Symmetry, 15(2), 525.
Silva-Gálvez, A.L., López-Sánchez, A., Camargo-Valero, M.A., Prosenc, F., González-López, M.E., Gradilla-Hernández, M.S. 2024. Strategies for livestock wastewater treatment and optimised nutrient recovery using microalgal-based technologies. Journal of Environmental Management, 354, 120258.
Vaishnav, S., Saini, T., Chauhan, A., Gaur, G.K., Tiwari, R., Dutt, T., Tarafdar, A. 2023. Livestock and poultry farm wastewater treatment and its valorization for generating value-added products: Recent updates and way forward. Bioresource Technology, 382, 129170.
Wang, M., Yang, Y., Chen, Z., Chen, Y., Wen, Y., Chen, B. 2016. Removal of nutrients from undiluted anaerobically treated piggery wastewater by improved microalgae. Bioresource Technology, 222, 130-138.
Wang, X.-R., Lian, X.-L., Su, T.-T., Long, T.-F., Li, M.-Y., Feng, X.-Y., Sun, R.-Y., Cui, Z.-H., Tang, T., Xia, J. 2021. Duck wastes as a potential reservoir of novel antibiotic resistance genes. Science of The Total Environment, 771, 144828.
Zhang, W., Kong, T., Xing, W., Li, R., Yang, T., Yao, N., Lv, D. 2022. Links between carbon/nitrogen ratio, synergy and microbial characteristics of long-term semi-continuous anaerobic co-digestion of food waste, cattle manure and corn straw. Bioresource Technology, 343, 126094.